Wad O&G

PENGENALAN
Unit Obstetrik & Gynekologi , Hospital Ranau mula beroperasi sejak hospital Ranau ditubuhkan pada tahun 1974.
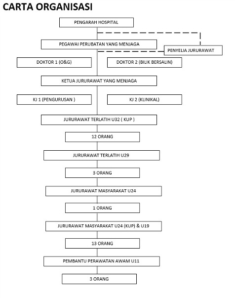
Unit Obstetrik & Gynekologi mempunyai 20 buah katil yang merangkumi 15 buah katil obstetrik dan 5 buah katil untuk Gynekologi. Dianggotai oleh 2 orang Pegawai perubatan UD 44 , 2 orang Ketua Jururawat u32, 12 orang Jururawat U32 (KUP), 3 orang Jururawat U29, 1 orang Jururawat U24,1 orang jururawat u24 (kup) 12 orang jururawat U19, 3 orang Pembantu Perawatan Kesihatan U11.
1 orang Pegawai Farmasi UF dimana perkhidmatannya adalah diguna sama dengan wad Perempuan.
VISI
MENINGKATKAN KESEDARAN WANITA TENTANG KEPENTINGAN DAN KEPERLUAN PENJAGAAN, PEMERIKSAAN SERTA RAWATAN SAKIT PUAN.
MISI
MEMBERI PERKHIDMATAN SECARA MENYELURUH UNTUK MEWUJUDKAN MASYARAKAT WANITA YANG SIHAT.
OBJEKTIF
1.Meningkatkan kualiti jagaan dan perawatan kejururawatan kepada klien.
2.Mempraktikan jagaan kejururawatan dan perubatan yang sistematik, selamat dan bertepatan.
3.Mengurangkan komplikasi dan mempercepatkan penyembuhan.
4.Memberi pendidikan kesihatan kepada klien berkaitan dengan sakit puan untuk memberi kesedaran tentang kepentingan pemeriksaan,jagaan dan rawatan bagi mewujudkan masyarakat wanita yang sihat.
SKOP PERKHIDMATAN
1.Menyediakan kemudahan pengesanan, pemerhatian, rawatan, penjagaan kejururawatan dan pemulihan kepada :
a).Semua kes Antenatal
b).Semua kes Postnatal
c).Bayi yang baru dilahirkan termasuk BBA tanpa komplikasi dalam masa 6
jam selepas bersalin
d).Semua kes Ginekologi
2.Menyediakan kemudahan imunisasi awal kepada bayi baru dilahirkan.
Menyediakan perkhidmatan pendidikan kesihatan termasuk perancang keluarga, kepentingan Pap Smear, penjagaan bayi dengan penyusuan susu ibu.
Menyediakan suasana wad rakan mesra bayi.
Menyediakan perkhidmatan 24 jam sehari.
AKTIVITI-AKTIVITI UNIT
1.Mengadakan mesyuarat unit mengikut takwim yang disediakan iaitu 4 kali setahun dan mengikut keperluan.
2.Mengadakan cne setiap mengikut takwim yang disediakan setiap minggu pertama dan kedua.
3.Pendidikan kesihatan untuk pesakit dan keluarga.
4.Mengadakan drill pink code dan red alert .
5.Sambutan hari keluarga wad, sambutan perayaan rasmi seperti Tahun Baru, Hari Raya dan Krismas dan mengadakan majlis jasamu dikenang untuk anggota yang berpindah dan bersara.
6.Gotong Royong Perdana wad
7.Anggota terlibat dengan Nursing Audit Association(NNA)
8.Audit Dalaman Hand Hygiene.
9.Mengadakan Kursus Pengurusan Laktasi Mengikut Takwim yang disediakan.
10.Penilaian Dalaman Hospital Rakan Bayi ,Hospital Ranau 26 – 27/2/2018
11.Penilaian Semula Status Hospital Rakan Bayi Bagi Hospital Ranau pada 10-12/4/2018
12.Mendapat Pengktirafan Semula Hospital Rakan Bayi Hospital Ranau kali ke 8 Bermula 24/Julai 2018 – 24/Julai /2021.

HUBUNGI WAD O&G
1) Direct Line (Labour room) : 088876050
2) Extention Line WAD : 224
3) Extention Line Labour Room : 158
PERJAWATAN
JAWATAN : KETUA JURURAWAT U32
BIL | NAMA | TARIKH LANTIKAN | TARIKH SAH JAWATAN | POS BASIK |
1. | KASMIAH ALI | 16.12.1996 | 16.12.1999 | KEBIDANAN |
2. | NONITAH SABIN | 1.10.1997 | 1.10.2000 | KEBIDANAN / NEONAT |
JAWATAN: JURURAWAT U32 KUP/U29
| NAMA | TARIKH LANTIKAN | TARIKH SAH JAWATAN | POS BASIK |
1. | JUITAH YANGIN | 12.7.1984 | 12.7.1984 | KEBIDANAN |
2. | ROIMIE PILOH | 1.12.1987 | 3.7.1985 | KEBIDANAN |
3. | NORAISAH G.SALLEH | 1.10.1997 | 7.12.2000 | KEBIDANAN |
4. | KAMARIAH SALANI | 16.12.1998 | 16.12.2001 | KEBIDANAN / CCU |
5. | HASNAH ROSLIE | 16.12.1998 | 16.12.1999 | KEBIDANAN |
6. | RADZIAH MAT NOOR | 1.10.1999 | 1.10.2002 | KEBIDANAN |
7. | SITI SALFIAH SIDAN | 1.9.2000 | 1.11.2002 | KEBIDANAN |
8. | LAURA BILI | 16.12.2001 |
| KEBIDANAN |
9. | LYDIA MAJI | 16.12.2001 | 1.4.2005 | KEBIDANAN |
10. | SAMSIAH KASIN | 5.1.2004 | 31.7.2005 | KEBIDANAN |
11. | NURAITI JALANI | 16.10.2001 | 1.11.2006 | KEBIDANAN |
12. | VINES VUI LIONG | 4.10.2004 | 16.10.2006 | KEBIDANAN |
JAWATAN: JURURAWAT U29
BIL | NAMA | TARIKH LANTIKAN | TARIKH SAH JAWATAN | POS BASIK |
1. | ROSLIZAH NIUS | 7.1.2008 | 10.6.2009 | KEBIDANAN |
2. | JURIYANI IBRAHIM | 24.1.2008 | 24.1.2011 | KEBIDANAN |
3. | NASMAH YUNUS | 11.10.2010 | 11.10.2011 | KEBIDANAN |
Secara keseluruhannya anggota wad O&G untuk kategori u29/u32 mempunyai pos basic kebidanan dan pencapaian 100%. Terdapat seorang anggota yang mempunyai post basic neonat dan ccu.
JAWATAN : JURURAWAT U24
BIL. | NAMA | TARIKH LANTIKAN | TARIKH SAH JAWATAN |
1. | NEILY MERAGUN | 1.6.1998 | 1.6.2001 |
JAWATAN : U24(KUP) / U19
BIL. | NAMA | TARIKH LANTIKAN | TARIKH SAH JAWATAN |
1. | LELA KARIM (KUP) | 1.7.1993 | 1.7.1996 |
2. | ROTIAH MICHEAL | 16.5.2005 | 16.9.2007 |
3. | MONICA USOP | 14.11.2005 | 16.11.2006 |
4. | ALOYSIA DUON | 14.11.2005 | 14.11.2006 |
5. | ROZLEHA HAMID | 2.4.2007 | 29.4.2008 |
6. | ZENURY LASUMIN | 2.10.2007 | 2.10.2009 |
7. | NOORIDAYU WANAWIN | 25.9.2008 | 25.9.2009 |
8. | JUDITH RIDAN | 10.3.2009 | 10.3.2010 |
9. | MARLYZA MALIJUN | 2.8.2010 | 2.8.2011 |
10. | NORSAZWANI MUSAIT | 16.12.2011 | 16.12.2012 |
11. | JESSICA ROZER | 16.2.2011 | 2.1.2012 |
12. | PRISCELLA ALLEX | 20.3.2012 | 20.3.2013 |
13. | ASLINDA A/P IDAN | 24.9.2007 | 24.9.2008 |
JAWATAN : PEMBANTU PERAWATAN KESIHATAN U11
BIL | NAMA | TARIKH LANTIKAN | TARIKH SAH JAWATAN |
1. | PUTRINILAH ALIPAH | 16.12.2003 | 14.5.2005 |
2. | RICANAH CONNIE RICHARD | 31.12.2013 | 12.9.2015 |
3. | JIBEA MALAKIM | 1.4.2005 | 16.9.2007 |